
Have you ever looked at a power transmission line and wondered why there are three cables – and not just 2. The answer may surprise you. The 3-phase power concept allows twice the power delivery as a single-phase system, with the same amount of metal used for conductors. The concept was invented before 1900 and claimed by several people, the most notable being Nicola Tesla. The concept is brilliant but is rarely explained. In addition to delivering double the power with the same amount of conductor material, it also makes both motors and generators operate smoothly, with almost no vibration.

Three phase provides three voltage sources that are shifted in phase by 120o (1/3 of a cycle) from each other. The graph in figure 1 shows the three voltages that are shifted in this way.
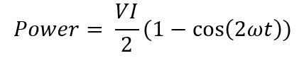
If each phase has a single resistive load attached to it, then the currents will be in phase with the voltage and the power dissipated in the load will be as shown in Figure 2. The power is V x I (Volts x Amps)

There are now several very significant differences. First, the power “wave” is DOUBLE the frequency of the voltage waveform. Mathematically this is easily proved as the formula for power in “A” phase is:

Which can be simplified using trig identities to:

So the power wave for a 60 Hz supply is 120 Hz, while for a 50 Hz system, it is 100 Hz. For the musicians reading this, Middle “C” on the piano is 256 Hz, and one octave lower is 128 Hz. The hum heard near electrical equipment in North America is 120 Hz, a little lower in pitch than the “C” below Middle “C.”
The second major difference is that the power “wave” is always positive, meaning that power flows toward the load at all times. When voltage and current are negative the power flow continues toward the load.
But the third difference is the real key – the TOTAL Power – calculated by summing the power in the three phases is the constant line shown at 1.5. (The red line in Figure 2 is the sum of the three power signals.) The power delivered to a 3 phase load is constant, and does NOT vary in a sinusoidal waveform. This is very significant. A single phase motor or generator will experience torque in either output (motor) or input (generator) that varies dramatically, and this will appear as mechanical vibration. The torque will follow the power curve, which for single phase is a 120 Hz sinusoid. A three phase device experiences constant power and/or torque with no variation at all. It runs smoothly – with no variations in torque – much like a DC load.

The final benefit is in the delivery of current. If the phase currents are summed, and the loads are all equal, the magnitude, the total current flowing in the return leg is equal to ZERO. The return conductor is NOT required for balanced loads. This is the real benefit of the 3 phase system; it can deliver twice the total power that can be delivered with three single phase systems – yet utilize the same amount of metal for conductor. This has provided a huge cost benefit to utility companies.
In the industry transmission lines are configured to operate with balanced 3 phase currents, but in distribution systems, and in large buildings, where single-phase power may be delivered to some users, there is often imbalance in phase currents. In those cases, the wiring may be 4 wires, 3 phases and a smaller neutral return.
This process has worked well for many years but has recently been at the root of some building fires and other damage. It has turned out that if the loads are all linear loads, the neutral current represents only the imbalance between the phase loads. But if the loads are “non-linear devices”, such as switching power supplies, inverters, electronic ballasts, the neutral current may be much more than the imbalance. Most power delivery systems were designed and built while most commercial and industrial loads were built to utilize a 3-phase supply. Most residential demand was small, made of up linear loads including small single phase motors. Older Lighting systems, and even TVs were either linear or near linear loads. Fast forward to the 21st century, new, more energy efficient devices such as switching power supplies, “wall wart” supplies, computers, video games, cell phones and even LED lights brought the issues of non linear loads into the market. None of these devices are linear. All of them add harmonic currents (odd multiples of the 50 or 60 Hz system frequency).
The bad news – Some of these harmonics do NOT cancel in the neutral, but in fact ADD together to create large neutral currents. These harmonics are some of the odd multiples of 60 Hz, (3rd, 9th and 15th etc.), known as Triplen harmonics. Together with any imbalances, Triplen harmonics must be managed and contained. A later blog will discuss these harmonics and will explain why they do not cancel out. Large neutral currents, unexpected in the past, have been identified as a cause of a number of building fires.
Tesla’s discovery of the multi phase grid has been a major contribution to the electric grid. It has helped to reduce capital and maintenance costs, while delivering power in a form that provides significant efficient over single-phase systems. His genius enabled the power grid to become the world’s largest and most complex integrated system, from which society has derived more benefit from than nearly any other system. Over 130 years since its conception, the principles derived still hold true although we now need new management methods to extend this system for another century, to keep it current with other technological advances including the rapid increase in non-linear loads. The alternative is to rebuild it – which is neither economical nor practical.
Enbala’s DERMS will be an essential tool in meeting the challenges ahead.